当前位置:首页  »   行业动态  »  动态详情
改性PPO应用介绍
2022-04-18 来源:

一、PPO简介

PPO材料的化学名:聚2,6-二甲基-1,4-苯醚,英文名称:PPOPolyphenylene Oxide)或PPEPolypheylene ether)。市场上通用的主要为改性聚苯醚(MPPOMPPE),一般加入PSPA,以改善加工性能等其他性能。改性聚苯醚由于综合性能好、品级多样成为五大工程塑料之一。

 


分子式)

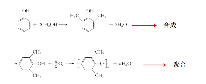
二、PPO合成

PPO合成主要分为单体26-二甲基苯酚的合成及聚合两个部分

 

三、PPO性能特点

 

四、PPO电性能

PPO分子结构中无极性高的基团,不产生偶极分极,电性能十分稳定,在广阔的温度及频率范围内保持优异的电性能。

 

五、PPO耐化学品性能

PPO具有优异的耐水性,对于以水为介质的化学药品,如酸、碱、盐溶液和洗涤剂等,不管是室温还是受热情况下,一般不受影响。

六、PPO吸水率&密度

PPO吸水率底、密度底,优势明显。

 七、PPO与其他工程材料对比

 

 

七、SELON改性PPO介绍

 

SELON改性PP0/PS合成,耐热PPO、增强PPO以及各种阻燃PPO材料)

 

 

SELON改性PPO/PA产品,高抗冲PPO、增强PPO、阻燃PPO以及导电PPO

二维码
二维码
×